MA_VMF Posted January 21 Posted January 21 Разве Х-29Т и Х-29Л должны иметь траектория горка при пуске с высоты 3000м?
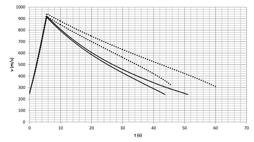
tavarish palkovnik Posted January 21 Posted January 21 I will check for H-29, there are videos of H-29 launching were rocket goes in strong gorka. In any case on H-25M it is optional, with gorka or without. But to return on R-27R, this is +3G concept and when compared to diagram above (250m/s vs 195m/s) that's it However, like said there is diagram which says 40km and 52km at 10km and 15km...I missed yesterday something, writing with numbers from back of my mind, and there were lot of numbers in there. To reach 40 and 52km I applied only +2G in leveled flight...perhaps zapas peregruzke depends of altitude !? But we have at 10km PPS -> 30km (250 vs 195) +3G 34km (250 vs 250) +3G 40km (250 vs 250) +2G !? This is for 10km and 15km with +3G and +2G 1
T4buk Posted January 21 Posted January 21 (edited) Hi @Chizh I hope you doing well. You said that R-27EP will not be released until there is more info about it. Here is the page about R-27P from the bureau that makes the seekers for it. Here is the information about the missile test and life launches at highly maneuverable Mig-29 target and Tu-16 target. Missiles were successfully fired at hot and cold targets. With radar lock maintained missile was lofting before hitting the target. Edited January 21 by T4buk 4
T4buk Posted January 21 Posted January 21 @Chizh And this is an interview with Vympel missile production officials on YouTube: at 12:38 Vympel chief designer describes R-27P/EP launch mode without even having necessity of turning on own jet`s radar for target designation. Longitudinal mode (in Russian ФиО) This paints clear picture about R-27P/EP use cases and clarifies that it can have targets designated for it by pilot locking target on the HUD and can be launched like R-27ET in longitudinal missile aiming mode. And can home in on even fighters that are flanking away. as long as seeker is picking up radar side leafs and evidently can be used to the same effect as R-27ER when attacking cold targets 3
ED Team Chizh Posted January 21 Author ED Team Posted January 21 19 минут назад, T4buk сказал: Hi @Chizh I hope you doing well. You said that R-27EP will not be released until there is more info about it. Here is the page about R-27P from the bureau that makes the seekers for it. Here is the information about the missile test and life launches at highly maneuverable Mig-29 target and Tu-16 target. Missiles were successfully fired at hot and cold targets. With radar lock maintained missile was lofting before hitting the target. Thanks for the information. But there is nothing new here. Yes, the passive seeker was developed in the 80s. Perhaps it exists somewhere. But we do not have a single SME that has faced this missile. I do not believe in "almost all successful launches". This is usually written in reporting documents, even when everything is bad. This is a tradition in the Russian military-industrial complex. 2 Единственный урок, который можно извлечь из истории, состоит в том, что люди не извлекают из истории никаких уроков. (С) Джордж Бернард Шоу
ED Team Chizh Posted January 21 Author ED Team Posted January 21 18 часов назад, tavarish palkovnik сказал: To repeat this, because it is very interesting and there was no some reactions Запас 3 ед.п. в канале управления, this principle gave exactly same velocity profiles of R-27ER. Zones are drawn depending of altitude, sometimes velocity (lower altitudes), sometimes time in addition (far distances in PPS), sometimes available additional overload, static stability issues (higher altitudes) etc etc It fits very well, 34km PPS 13km ZPS at 10km, 23km PPS 8km ZPS at 5km, 16km PPS 5km ZPS at 1km. For rest I can just say, trust me bro It must fits, motor is very well known in everything, ballistic coefficients also, atmospheric conditions of course, and when put everything in integral with postulate of leveled flight with 3G extra load it must fit and it fits. Now question…how comes diagram from very relevant source shows that on condition vi=vc=250m/s PPS zone for R-27R at 10km is 40km and 52km at 15km. Same altitude for fighter and target. This is the real truth! 1 Единственный урок, который можно извлечь из истории, состоит в том, что люди не извлекают из истории никаких уроков. (С) Джордж Бернард Шоу
ED Team Chizh Posted January 21 Author ED Team Posted January 21 14 минут назад, T4buk сказал: @Chizh And this is an interview with Vympel missile production officials on YouTube: at 12:38 Vympel chief designer describes R-27P/EP launch mode without even having necessity of turning on own jet`s radar for target designation. Longitudinal mode (in Russian ФиО) This paints clear picture about R-27P/EP use cases and clarifies that it can have targets designated for it by pilot locking target on the HUD and can be launched like R-27ET in longitudinal missile aiming mode. And can home in on even fighters that are flanking away. as long as seeker is picking up radar side leafs and evidently can be used to the same effect as R-27ER when attacking cold targets Here I see only blah-blah on general topics. There is nothing new and they continue to lie about 130 km. In reality, anti-radar missiles are among the least effective tactical missiles. Judging by the experience of real use of HARM missiles, their effectiveness is very low. At the same time, their targets are stationary, and do not move in three-dimensional space at the speed of sound. We will not develop these missiles until we see results of using this type of missiles in a real combat situation. I assume that the lack of information about these missiles is due to the fact that their effectiveness is very low and there is no point in using them. And that is why no one else in the world is developing such missiles. 2 Единственный урок, который можно извлечь из истории, состоит в том, что люди не извлекают из истории никаких уроков. (С) Джордж Бернард Шоу
T4buk Posted January 21 Posted January 21 (edited) @Chizh Thanks for your react. Another pages from same book that show when the production items of the bureau entered the service. At least you now know what you said you wanted to know before releasing it. Edited January 21 by T4buk
MA_VMF Posted January 21 Posted January 21 1 час назад, Chizh сказал: This is the real truth! Т.е расчет совпал с диаграммой?
MicroShket Posted January 21 Posted January 21 130 км на скриншоте - совпадение? Спойлер ASRock X570, Ryzen 9 3900X, Kingston HyperX 64GB 3200 MHz, XFX RX6900XT MERC 319 16GB, SSD for DCS - Patriot P210 2048GB, HP Reverb G2. WINWING Orion 2 throttle, VPC Rotor Plus TCS + Hawk-60 grip, VPC WarBRD + MongoosT-50CM2/V.F.X (F-14) grips. WINWING Orion pedals.
MA_VMF Posted January 21 Posted January 21 2 часа назад, T4buk сказал: at 12:38 Vympel chief designer describes R-27P/EP launch mode without even having necessity of turning on own jet`s radar for target designation. Longitudinal mode (in Russian ФиО) The Fi0 mode, for the R-27P/EP, is a shot to nowhere 2 часа назад, Chizh сказал: This is usually written in reporting documents, even when everything is bad. This is a tradition in the Russian military-industrial complex. Well, that's an outright lie. Failures are also indicated only these documents are not for everyone 3
Teknetinium Posted January 21 Posted January 21 (edited) 6 minutes ago, MA_VMF said: Well, that's an outright lie. Failures are also indicated only these documents are not for everyone Not first time to be honest, R-37M was a lie as well if you ask Chiz. I dont get why Chiz have it hard to be more neutral talking about companies that supported DCS! Sorry for not adding anything to the conversation as that tradition comment! Edited January 21 by Teknetinium 4 1 51st PVO Discord SATAC YouTube
ED Team Chizh Posted January 21 Author ED Team Posted January 21 52 минуты назад, MicroShket сказал: 130 км на скриншоте - совпадение? С чем? 24 минуты назад, MA_VMF сказал: Well, that's an outright lie. Failures are also indicated only these documents are not for everyone Show me where they talk about failures? 19 минут назад, Teknetinium сказал: Not first time to be honest, R-37M was a lie as well if you ask Chiz. I dont get why Chiz have it hard to be more neutral talking about companies that supported DCS! Sorry for not adding anything to the conversation as that tradition comment! I try to be objective, not neutral. And I have a Soviet rocket science education. I know how they can lie. 2 Единственный урок, который можно извлечь из истории, состоит в том, что люди не извлекают из истории никаких уроков. (С) Джордж Бернард Шоу
tavarish palkovnik Posted January 21 Posted January 21 2 hours ago, Chizh said: This is the real truth! For R-27ER ! At top high limits. R-27R with same top high limits is at 90km. 20km ; 2,3M (680m/s) vi=vc=vk ; N=4 -> 54 seconds ; x=~55500m ; 54*680+55500=~90km This at 20km is for vi=700m/s vk=~600m/s t=60sec … for sure, guaranteed 2
ED Team Chizh Posted January 21 Author ED Team Posted January 21 6 минут назад, tavarish palkovnik сказал: For R-27ER ! At top high limits. R-27R with same top high limits is at 90km. 20km ; 2,3M (680m/s) vi=vc=vk ; N=4 -> 54 seconds ; x=~55500m ; 54*680+55500=~90km This at 20km is for vi=700m/s vk=~600m/s t=60sec … for sure, guaranteed Only 90? What is the way that they get 130 km? Единственный урок, который можно извлечь из истории, состоит в том, что люди не извлекают из истории никаких уроков. (С) Джордж Бернард Шоу
Лесник Posted January 21 Posted January 21 8 минут назад, Chizh сказал: С чем? Покажите мне, где они говорят о неудачах? Я стараюсь быть объективным, а не нейтральным. И у меня есть советское образование в области ракетостроения. Я знаю, как они могут лгать. А другие страны предоставляли информацию честно? 1
ED Team Chizh Posted January 21 Author ED Team Posted January 21 3 минуты назад, Лесник сказал: А другие страны предоставляли информацию честно? Никто ничего не предоставляет. Мы пользуемся тем что можно достать в интернете. И да, мануалы и серьезные документы весомее рекламных видеофильмов и книг. Насущный пример. Они твердят про 130 км для Р-27 потому что так им когда-то было написано. И не важно правда это или нет. Это и есть уровень компетенции этих агиток. 1 Единственный урок, который можно извлечь из истории, состоит в том, что люди не извлекают из истории никаких уроков. (С) Джордж Бернард Шоу
Лесник Posted January 21 Posted January 21 1 минуту назад, Chizh сказал: Никто ничего не предоставляет. Мы пользуемся тем, что можно найти в интернете. И да, руководства и серьёзные документы ценнее рекламных видеофильмов и книг. Наглядный пример. Они твердят о 130 км для Р-27, потому что так им когда-то написали. И неважно, правда это или нет. А где вы тогда брали информацию по 120 ракетам? 2
ED Team Chizh Posted January 21 Author ED Team Posted January 21 1 минуту назад, MA_VMF сказал: Из Книги "МиГ полет сквозь время" и это зачетные испытания и тут есть промахи ОК, ты веришь про 30 испытательных пусков НОВОЙ ракеты, где все успешные? Единственный урок, который можно извлечь из истории, состоит в том, что люди не извлекают из истории никаких уроков. (С) Джордж Бернард Шоу
MA_VMF Posted January 21 Posted January 21 6 минут назад, Chizh сказал: What is the way that they get 130 km? это для ЭР версии, просто авторы фильма указали как единую ракету Р-27
ED Team Chizh Posted January 21 Author ED Team Posted January 21 2 минуты назад, Лесник сказал: А где вы тогда брали информацию по 120 ракетам? Собирали по крупицам еще в вегетерианские времена. Единственный урок, который можно извлечь из истории, состоит в том, что люди не извлекают из истории никаких уроков. (С) Джордж Бернард Шоу
MA_VMF Posted January 21 Posted January 21 (edited) 4 минуты назад, Chizh сказал: ОК, ты веришь про 30 испытательных пусков НОВОЙ ракеты, где все успешные? Это зачетные испытания. сколько было не удачных до этого лежит скорее всего где то в архивах секретных доков. И как можно видеть из 4 одновременных пусков 2-3 ракеты мажут Edited January 21 by MA_VMF
tavarish palkovnik Posted January 21 Posted January 21 5 minutes ago, Chizh said: Only 90? What is the way that they get 130 km? I don’t know, perhaps when stated R-27 they thought at R-27 family R-27R neither in theory can reach such distance, but 90km as maximal distance in ZPS is reality although for very end limits, and in practice most likely never used or will be ever used
ED Team Chizh Posted January 21 Author ED Team Posted January 21 10 минут назад, MA_VMF сказал: это для ЭР версии, просто авторы фильма указали как единую ракету Р-27 Для ЭР это тоже не реально, с учетом потребной располагаемой перегрузки, не менее 3g 9 минут назад, MA_VMF сказал: Это зачетные испытания. сколько было не удачных до этого лежит скорее всего где то в архивах секретных доков. И как можно видеть из 4 одновременных пусков 2-3 ракеты мажут Они пишут русским по белому: "почти все они оказались удачными". Я знаю как оформляются "удачные" пуски. Единственный урок, который можно извлечь из истории, состоит в том, что люди не извлекают из истории никаких уроков. (С) Джордж Бернард Шоу
Teknetinium Posted January 21 Posted January 21 27 minutes ago, Chizh said: I try to be objective, not neutral. And I have a Soviet rocket science education. I know how they can lie. I would assume other schools are not that different! 51st PVO Discord SATAC YouTube
Recommended Posts