MA_VMF Posted February 17 Posted February 17 1 час назад, RaymonD сказал: А говорили что Р-27АЭ не существует. null Р-27ЭА дальше прототипов не ушла
l_Phobos_l Posted February 17 Posted February 17 (edited) 7 минут назад, MA_VMF сказал: Не специальная,в названии есть некоторая путаница.Одни считают что это Р-33 с ядерной БЧ, другие что это улучшенная Р-33 причем фоток ее 1.5 шт на весь интернет Edited February 17 by l_Phobos_l
ED Team Chizh Posted February 17 Author ED Team Posted February 17 13 минут назад, MA_VMF сказал: Не специальная Есть доказательства? Единственный урок, который можно извлечь из истории, состоит в том, что люди не извлекают из истории никаких уроков. (С) Джордж Бернард Шоу
MA_VMF Posted February 17 Posted February 17 2 минуты назад, Chizh сказал: Есть доказательства? Ну в недавних учениях по ядерному обеспечнию вешались Р-33 как сказано с ЯБЧ.Прямых доказательств нет.Ракета довольно редкая от нее отказались в пользу Р-37
Teknetinium Posted February 17 Posted February 17 (edited) @RaymonD Thank you so much! Edited February 17 by Teknetinium 51st PVO Discord SATAC YouTube
MA_VMF Posted February 18 Posted February 18 18 часов назад, RaymonD сказал: Я в аэродинамике не силен, по этому вопрос, как влияет площадь оперения ракеты на располагаемые перегрузки ракеты? При одинаковом плече чем больше тем лучше
tavarish palkovnik Posted February 18 Posted February 18 2 hours ago, MA_VMF said: При одинаковом плече чем больше тем лучше It is not just simple as that. All this subject is actually very complicated Same area of wings, same placement of pressure centers, same arms of moments ... but lift coefficients significantly different because of ... I don't know english word ... за счет удлинения крыла. And in result, upper design in theory, in particular velocity zone, would have higher total lift coefficients and accordingly bigger available overload potential
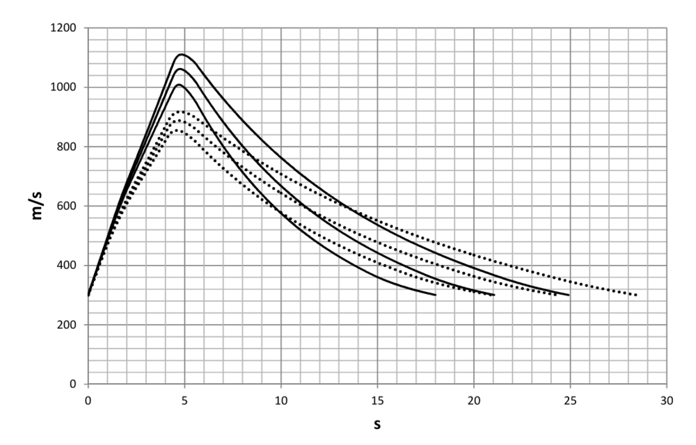
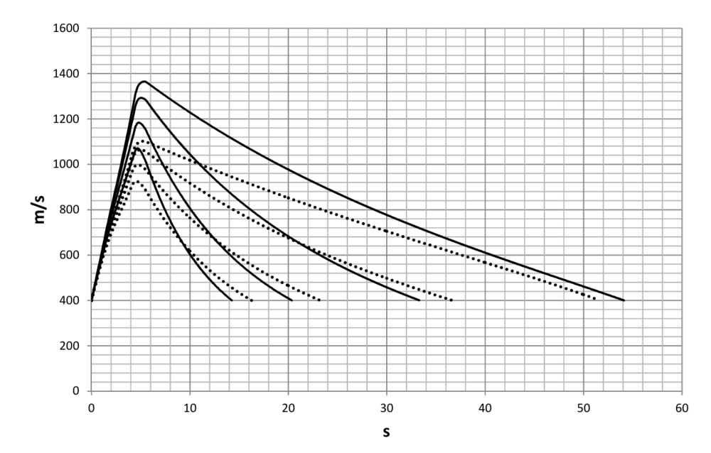
tavarish palkovnik Posted February 18 Posted February 18 Comparison of R-77 (assumed motor) and R-27R in several cases: 1) v=400m/s ; H=1, 5, 10 and 15km 2) v=600m/s ; H=10 and 15km 3) v=300m/s ; H=1, 3 and 5km
MA_VMF Posted February 18 Posted February 18 2 часа назад, tavarish palkovnik сказал: Same area of wings, same placement of pressure centers, same arms of moments ... but lift coefficients significantly different because of ... I don't know english word ... за счет удлинения крыла. And in result, upper design in theory, in particular velocity zone, would have higher total lift coefficients and accordingly bigger available overload potential Имелось ввиду что площадь оперения разная, на твоем рисунке можно сказать что площадь одинакова.Но рули разной конструкции.Если сравнивать решетчатый руль и монопланный.То решетчатый создает гораздо больший момент чем обычный
TotenDead Posted February 18 Posted February 18 23 минуты назад, MA_VMF сказал: Имелось ввиду что площадь оперения разная, на твоем рисунке можно сказать что площадь одинакова.Но рули разной конструкции.Если сравнивать решетчатый руль и монопланный.То решетчатый создает гораздо больший момент чем обычный Вот только решетчатый требует гораздо большего отклонения для достижения тех же моментов
MA_VMF Posted February 18 Posted February 18 1 час назад, TotenDead сказал: Вот только решетчатый требует гораздо большего отклонения для достижения тех же моментов Решетчатый руль требует как раз меньшего отклонения.У тебя логика не в ту сторону работает
TotenDead Posted February 18 Posted February 18 27 минут назад, MA_VMF сказал: Решетчатый руль требует как раз меньшего отклонения.У тебя логика не в ту сторону работает Может я тут что-то не так понимаю?
MA_VMF Posted February 18 Posted February 18 (edited) 35 минут назад, TotenDead сказал: Может я тут что-то не так понимаю? да тут ты не понимаешь.Это производная коэффициента подъемной силы по углу атаки. А на графике его зависимость от количества планов в решетке и относительного шага решетки умноженный на косинус угла атаки Edited February 18 by MA_VMF
TotenDead Posted February 18 Posted February 18 (edited) 1 час назад, MA_VMF сказал: да тут ты не понимаешь.Это производная коэффициента подъемной силы по углу атаки. А на графике его зависимость от количества планов в решетке и относительного шага решетки умноженный на косинус угла атаки Я вижу подпись) Заодно можно увидеть, что в самом верху у нас дана 1 пластинка, ниже - 2, затем 3, и т.д При этом, Cy=Cy(а)ср*А, ну а чем выше Cy тем выше и Ыгрэк а, т.е подъемная сила Моменты относительно одного плана у тебя улучшатся лишь если ты планами увеличишь площадь крыла. При увеличении числа планов и сохранении суммарной площади ни о каком росте х-к говорить не приходится Edited February 18 by TotenDead
tavarish palkovnik Posted February 18 Posted February 18 When we started all this, just to show with few numbers how much all that is complicated and variable. Drag coefficients Cx, without involving lift coefficients Cy, are not much relevant for complete picture Cxind-induced drag coefficient Cx a=0 -drag coefficients at zero angle of attack a- angle of attack Cy- lift coefficient per degree of angle of attack Just one of numberless cases…rockets weighting 120kg, flying at 10km where density is 0,4 kg/m3 with velocity 800m/s, and diameter of rocket is 0,2m. And let’s say flight is overloaded with 6G. One rocket is in configuration having zero angle of attack drag coefficient 0,5 and lift coefficient 0,3/deg while other has 50% higher drag coefficient but lift coefficient as well, so 0,75 and 0,45 respectively. Angles of attack for these two rockets and selected case would be 5,9 and 3,9 degrees. Now to see what are induced drag coefficients…0,68 and 0,87 respectively So it is not any more 50% difference…still 30% in benefit of concept with lower zero angle of attack drag coefficients but putting everything in lower density, lower velocities, higher overloading, cards will turn around and oops, on first view, less beneficial concept could become more beneficial
MA_VMF Posted February 18 Posted February 18 (edited) 29 минут назад, TotenDead сказал: Я вижу подпись) Заодно можно увидеть, что в самом верху у нас дана 1 пластинка, ниже - 2, затем 3, и т.д При этом, Cy=Cy(а)ср*А, ну а чем выше Cy тем выше и Ыгрэк а, т.е подъемная сила Моменты относительно одного плана у тебя улучшатся лишь если ты планами увеличишь площадь крыла. При увеличении числа планов и сохранении суммарной площади ни о каком росте х-к говорить не приходится Ты вообще не понимаешь о чем пишешь. Причем тут Cy когда мы вообще про mz говорим и N1 Это значит 1 план в решетке, а не монопланное крыло Edited February 18 by MA_VMF
TotenDead Posted February 18 Posted February 18 16 минут назад, MA_VMF сказал: Ты вообще не понимаешь о чем пишешь. Причем тут Cy когда мы вообще про mz говорим Твой момент - это сила помноженная на расстояние) Силу (в нашем случае - подъемную) можно высчитать через формулу подъемной силы с помощью коэффициента подъемной силы, о котором я писал выше. Т.е через Y=Cy*скор.напор*S. Чем больше подъемная сила тем быстрее у тебя вертится ракета. Так вот, если ты обычный "большой" руль-планку разрежешь на кучу полосок и сделаешь скрепишь их стенками в решетчатый руль, то твоя поделка будет по всем параметрам проигрывать обычному рулю. Теперь понятно? 16 минут назад, MA_VMF сказал: и N1 Это значит 1 план в решетке, а не монопланное крыло Не знаю что ты этим хотел сказать. Отдельно выбранный план решетки - это по факту и есть монопланное прямоугольное крыло
MA_VMF Posted February 18 Posted February 18 (edited) 57 минут назад, TotenDead сказал: Y=Cy*скор.напор*S. Чем больше подъемная сила тем быстрее у тебя вертится ракета. Так вот, если ты обычный "большой" руль-планку разрежешь на кучу полосок и сделаешь скрепишь их стенками в решетчатый руль, то твоя поделка будет по всем параметрам проигрывать обычному рулю. а вот теперь найди график Су,монопланого крыла и решетчатого, а не производную.А также рассчитай площадь решетчатого и монопланного. 57 минут назад, TotenDead сказал: Не знаю что ты этим хотел сказать. Отдельно выбранный план решетки - это по факту и есть монопланное прямоугольное крыло Этот бред я даже не знаю как комментировать nullВот тут сколько планов 1, 2 или 3? ты даже имея книгу Белоцерковского прочитать нормально не можешь Спойлер null Edited February 18 by MA_VMF
MicroShket Posted February 18 Posted February 18 Ah, lovely talks of the fellow engineers. Спойлер ASRock X570, Ryzen 9 3900X, Kingston HyperX 64GB 3200 MHz, XFX RX6900XT MERC 319 16GB, SSD for DCS - Patriot P210 2048GB, HP Reverb G2. WINWING Orion 2 throttle, VPC Rotor Plus TCS + Hawk-60 grip, VPC WarBRD + MongoosT-50CM2/V.F.X (F-14) grips. WINWING Orion pedals.
TotenDead Posted February 18 Posted February 18 21 минуту назад, MA_VMF сказал: а вот теперь найди график Су,монопланого крыла и решетчатого, а не производную. Бесподобный способ слиться. Зачем? Мы говорили о конкретных крыльях? Вроде нет) Тебе надо найти Су, а не производную? Я писал как. Пожалуйста Спойлер null 21 минуту назад, MA_VMF сказал: А также рассчитай площадь решетчатого и монопланного. Повторяю вопрос, зачем? Ты внезапно решил перескочить на сравнение возможностей крыльев с разными площадями? Я тебе уже писал, что простое и решетчатое крыло равных площадей не равны по х-кам и второе проигрывает. Чтобы достичь равных возможностей в равных условиях скоростей и углов отклонения тебе потребуется увеличить площадь решетчатого крыла. В условиях равных площадей тебе придется отклонять решетку на больший угол. Казалось бы, не об этом ли я писал изначально? 21 минуту назад, MA_VMF сказал: Это тупость я даже не знаю как комментировать Можешь начать с "Прошу прощения за грубость, был не прав" 1
TotenDead Posted February 19 Posted February 19 4 часа назад, MA_VMF сказал: ты даже имея книгу Белоцерковского прочитать нормально не можешь Вот тут сколько планов 1, 2 или 3? Зачем было так сильно редактировать после ответа? Ответ на вопрос зависит от того учитываешь ли ты стенки, которые фактически те же планы. Графики выше их не учитывают, там был бы 1. Ты можешь учесть и у тебя будет 3. Вот только суть от этого не меняется. Какое крыло даст большую подъемную силу при одинаковых УА и площади несущих поверхностей, обычное или полипланное? Ответ на этот вопрос даст тебе ответ на то, какое из них надо отклонять на больший угол для достижения одинакового результата
MA_VMF Posted February 19 Posted February 19 7 часов назад, TotenDead сказал: Повторяю вопрос, зачем? Ты внезапно решил перескочить на сравнение возможностей крыльев с разными площадями? Я тебе уже писал, что простое и решетчатое крыло равных площадей не равны по х-кам и второе проигрывает. Чтобы достичь равных возможностей в равных условиях скоростей и углов отклонения тебе потребуется увеличить площадь решетчатого крыла. В условиях равных площадей тебе придется отклонять решетку на больший угол. Казалось бы, не об этом ли я писал изначально? nullnull А где проигрыш то? Как то не вяжется с твоими утверждениями
MA_VMF Posted February 19 Posted February 19 3 часа назад, TotenDead сказал: Какое крыло даст большую подъемную силу при одинаковых УА и площади несущих поверхностей, обычное или полипланное? Однако у биплана больше подъемной силы чем у моноплана внезапно
MA_VMF Posted February 19 Posted February 19 7 часов назад, TotenDead сказал: Можешь начать с "Прошу прощения за грубость, был не прав" А и нуда еще раз прочитай вырезку мою из книги Белоцерковского
Recommended Posts