MA_VMF Posted March 14 Posted March 14 2 часа назад, TotenDead сказал: Хм, а как на счет Р-40? Я думаю по ней довольно мало данных
MA_VMF Posted March 21 Posted March 21 в недавнем патче ввели новый АПИ для Р-27 nullлибо,это пока тест либо не знаю. Но настройки Р-27 максимально странные Значение Сх0 не совпадает с CFD null макс дальность указана всего 35км, в реале 90. Время работы 90, когда 60
tavarish palkovnik Posted March 22 Posted March 22 Расчетные данные для Р-40Р Коэффициент лобового сопротивления (угол атаки=0) Коэффициент подъемной силы (полый по одному крылу) Диаграмма скорость-время для 5, 10 и 15км с запасом перегрузки от три и шесть единиц (X-проекция полета ракеты) Диаграмма дальность-время для того же самого Это было просто, сложно определить, где проводить линии ограничений, не связанные с кинематикой…их здесь много насколько могу судить по тем книгам о Миг-25П 1 1
TotenDead Posted March 23 Posted March 23 16 часов назад, tavarish palkovnik сказал: Расчетные данные для Р-40Р Интересно, спасибо. Такая здоровая ракета и такая малая дальность
tavarish palkovnik Posted March 23 Posted March 23 Просто информативно, не принимайте это как должное 1
Wespe Posted March 27 Posted March 27 х-25мл через раз улетают в космос I7-13700k RTX4070Ti 32GB DDR5 Logitech X-56 Track IR 5
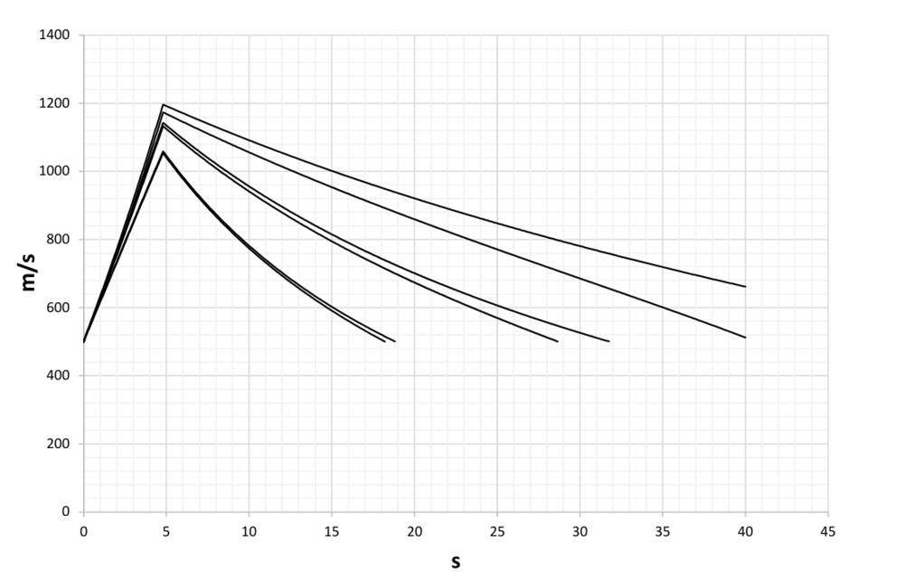
tavarish palkovnik Posted March 29 Posted March 29 Several R-40 trajectories (without involving guidance method) Red line 5km 300m/s DOWN and RIGHT Red dots 5km 300m/s UP and LEFT Blue line 10km 400m/s UP and LEFT Blue dots 10km 400m/s UP and RIGHT Black line 15km 500m/s DOWN and RIGHT Black dots 15km 500m/s UP and LEFT 2
nighthawk2174 Posted April 5 Posted April 5 On 2/16/2025 at 9:22 AM, tavarish palkovnik said: If someone were to ask you, just out of curiosity, what would you say the total impulse at sea level would be? R-77 of course is subject. Any thought is welcome but of course in level of reality. Motor is created based on patents (always so much valuable sourse of informations) Мне интересно, как вы это моделируете? Я бы хотел узнать, как это делается.
nighthawk2174 Posted April 5 Posted April 5 On 2/18/2025 at 7:36 AM, TotenDead said: But the lattice requires much greater deflection to achieve the same moments. May be relevant
tavarish palkovnik Posted April 5 Posted April 5 2 hours ago, nighthawk2174 said: Мне интересно, как вы это моделируете? Я бы хотел узнать, как это делается. What exactly, rocket motor configuration modeling or calculation of internal ballistic?
TotenDead Posted April 5 Posted April 5 6 часов назад, nighthawk2174 сказал: May be relevant Какая площадь у каждого из рулей?
nighthawk2174 Posted April 5 Posted April 5 9 hours ago, tavarish palkovnik said: What exactly, rocket motor configuration modeling or calculation of internal ballistic? Both
tavarish palkovnik Posted April 5 Posted April 5 (edited) 48 minutes ago, nighthawk2174 said: Both It has sense, one without other is not possible So…if you are interested…shall we start with one sample motor, step by step…after that all others will just follow same principles Edited April 5 by tavarish palkovnik
nighthawk2174 Posted April 6 Posted April 6 5 hours ago, tavarish palkovnik said: It has sense, one without other is not possible So…if you are interested…shall we start with one sample motor, step by step…after that all others will just follow same principles Go ahead
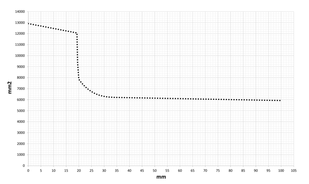
tavarish palkovnik Posted April 6 Posted April 6 (edited) All right, let's make one, simply one but still interesting because it is dual thrust motor and values are not constant because of that so it is more interesting to work with Fagot 9M111 rocket motor -> It is with propellant grain which burns from back side, from inside starting in small pit hole and also partially from outside where grain is not covered with inhibitor. It has two sideway placed nozzles where each has throat diameter 4,3mm and exit diameter approximately 8,6mm. We can take these two nozzles and convert it in just one of course so it would be one with throat diameter 6,08mm and exit diameter 12,16mm. In any case nozzle is with expansion ratio 4 (De^2/Dkr^2) Beside that each of these two nozzles are declined for 20deg in respect to longitudinal axis and that will be needed at the end when we get to thrust force becuase we are interested in force component in longitudinal direction This is grain configuration and one of the most important things when trying to figure out how some motor works. It burns like said from back side and burning layers are like this This is where you guys, using 3D programs, would be highly helpful, for you it is just piece of cake to make such layers with offsets starting from initial burning surface. But it is kind of hard to find anybody interested in this. In any case and sometimes with lot of work, surfaces can be calculated and usually I start with that. To make function of burning surfaces in respect to one linear measure and because this motor burns longitudinally it is normal to use longitudinal base so that would be these 100mm And here it is, this is how burning surface change. For now time is still not included but form is here and similar form will be when pressure-to-time and thrust-to-time functions start to draw it self. Next is to find some data about propellant, and in this motor propellant is grade RNDSI-5K Just like geometry of grain, these data are very important, especially the first one, burning rate. Actually others are also important because wrong numbers can change picture sometimes significantly. But for most of propellant grades useful information are available and by that chances for making huge mistakes are minimal. And now the most important...pressure in motor On the top is formula how to calculate pressure in chamber. In this motor throat inserts are of molybdenum so we can take that there will be no erosion of throat so even throat area can be considered as constant so we have only two variables, burning surface of course and temperature. For RNDSI-5K temperature of burning is give as 2245K but it is when chamber pressure is 40bar. Here I gave one formula how to calculate burning temperature depending of pressure and that is what goes in integral calculation. Usually with some value of temperature we must start, and with steps of integration temperature will come to itself. I expect pressure to be about 120bar (12MPa) so temperature in first step will be 2337K and initial burning surface is 12915 square millimetres. Be careful with units and here is first pressure -> So, initial burning surface combined with everything else will make chamber pressure of 120 bar. That is first step of integral, and next is just same work until all propellant burn out. Now when we have first pressure, integral calculate burning rate at this pressure as 3,67*120^0,25=12,15mm/s. Small integral time step of course will give more precise results so I used time step as small as one hundredth of second, meaning in that time grain will burn just 0,1215mm and that is actually first offset which gives new burning surface which now goes back in formula of chamber pressure...and that is loop which started to roll on. Nothing complicated, I use just common Excel which makes all the work. The main problem and what is looking for most of time is to prepare function how burning surface change with all these offsets. After about thousand integral steps, pressure-to-time curve is born Next is based on pressure and nozzle geometry to calculate force thrust Here we have just one variable (pressure is also variable but it just jump in) and it is thrust coefficient Ct. Nothing special and really easy to understand, simply we need thrust coefficient for our specific motor and in our specific conditions. Motor is with now known chamber pressure, nozzle geometry is known, and we are looking for thrust at sea level where ambient pressure is 101300Pa. For that we need to have theoretical thrust coefficient for full expansion in vacuum For motor with nozzle expansion ratio 4 and for propellant with heat ratio 1,25 thrust coefficient in vaccum will be 1,59 but we need thrust coefficient at sea level with chamber pressure as it is, and it is 1,5548 with 120 bar inside. Shall I mention Phoenix with expansion ratio 18,5 and heat ratio 1,2 Now all numbers are here and thrust can be calculated, again like with pressure, steps of integral just drops numbers out At the beginning I mentiond that nozzles are declined for 20 deg in respect to axis so these thrust values must be corrected to get true longitudinal force which is cosine component of total force, meaning values must be multiplied with 0,94 (cos 20deg) so here it is, final thrust Put the rocket on the launch and here it is Edited April 6 by tavarish palkovnik 2 3
tavarish palkovnik Posted April 7 Posted April 7 If someone would like to try, one similar cute little motor, 9M116 Metis rocket Propellant is of same grade, motor has three nozzles each with throat diameter 3,1mm. And Internet gives wrong numbers about thrust for this motor Question for all you 3D magicians…how these programs actually work, or more specifically, when you have 3D model I know you can make any 2D projection, but does program allow offset of 3D surface or you need every time to draw new 3D model? In 2D AutoCad when some contour is drawn, offset is so simple, select value of offset and point offset vector and offsets just goes out. I heard very contradictory explanations from 3D program users 2
MicroShket Posted April 7 Posted April 7 2 часа назад, tavarish palkovnik сказал: does program allow offset of 3D surface Do you mean this? Спойлер ASRock X570, Ryzen 9 3900X, Kingston HyperX 64GB 3200 MHz, XFX RX6900XT MERC 319 16GB, SSD for DCS - Patriot P210 2048GB, HP Reverb G2. WINWING Orion 2 throttle, VPC Rotor Plus TCS + Hawk-60 grip, VPC WarBRD + MongoosT-50CM2/V.F.X (F-14) grips. WINWING Orion pedals.
tavarish palkovnik Posted April 8 Posted April 8 10 hours ago, MicroShket said: Do you mean this? Close but not exactly This is what would be great, to have 3D model, to define surface (or surfaces) which are in burning process and then to make offset of those surfaces. So it is not trim, it is kind of opposite of extruding. Even this simple finocyl form is not so complicated because surface area can be calculated quite precise to make function, but some other grain forms are difficult and when you put in addition various radiuses on edges, when make central hole with slight cone angle as it is always in practise, on slots also etc etc, then it becomes tricky. Just take a look how complicated transition form between slots and central hole looks like on R-27ER grain or on grain of AIM-7F motor Mk-65 and imagine to calculate it or to measure surface area with 2D tools
MicroShket Posted April 8 Posted April 8 Sorry, I don't understand what's the problem exactly. You can create a configuration for each time step and solve it. Спойлер ASRock X570, Ryzen 9 3900X, Kingston HyperX 64GB 3200 MHz, XFX RX6900XT MERC 319 16GB, SSD for DCS - Patriot P210 2048GB, HP Reverb G2. WINWING Orion 2 throttle, VPC Rotor Plus TCS + Hawk-60 grip, VPC WarBRD + MongoosT-50CM2/V.F.X (F-14) grips. WINWING Orion pedals.
tavarish palkovnik Posted April 8 Posted April 8 You just point the problem... Even for simple configurations, like this 8-point star grain, we are talking about dozens of step points to get at lease decent output and I'm actually more about hundreds of steps how much complicated configurations looking for. So it is out of question making one hundred configurations again and again but one model configuration and offsets. In most cases it will happen that in output in some point curve will ''blink'' meaning something is not perfect so in that case it is time to go back in model, to make slight adjustment, and check it again 1
MA_VMF Posted April 8 Posted April 8 58 минут назад, tavarish palkovnik сказал: R-27R sea level ? R-33 11 km
tavarish palkovnik Posted April 9 Posted April 9 Look nice and fair This is what I use for R-33, just common i58=1,35 rule Your function in area where differ the most is about i58 1,45 so just as sample what it makes in flight, 1,35 vs 1,45 1
MicroShket Posted April 9 Posted April 9 20 часов назад, tavarish palkovnik сказал: one model configuration and offsets Still one model with each offset is a new configuration. Спойлер ASRock X570, Ryzen 9 3900X, Kingston HyperX 64GB 3200 MHz, XFX RX6900XT MERC 319 16GB, SSD for DCS - Patriot P210 2048GB, HP Reverb G2. WINWING Orion 2 throttle, VPC Rotor Plus TCS + Hawk-60 grip, VPC WarBRD + MongoosT-50CM2/V.F.X (F-14) grips. WINWING Orion pedals.
Recommended Posts