RUS MK Posted October 26, 2010 Posted October 26, 2010 26 октября 2010 г., Aviation Explorer – Армия США выдала американскому концерну Boeing разрешение на мелкосерийное производство усовершенствованных ударных вертолетов AH-64D Apache Longbow Block III, сообщает Lenta.ru со ссылкой на Flightglobal. По условиям контракта, Boeing должен будет собрать и поставить военным восемь машин. Сумма сделки составила 247 миллионов долларов. В общей сложности на этапе мелкосерийного производства Армия США намерена закупить 51 Apache Block III. Сборка и летные испытания Apache будут проводиться на предприятии Boeing в городе Меса штата Аризона. Американские военные намерены провести испытания на боевое применение новых вертолетов, после чего будет принято решение о масштабном производстве AH-64D. Когда именно завершатся испытания, пока неизвестно. По данным Boeing, Армия США намерена принять на вооружение 690 Apache Block III. Новая версия Apache отличается от предыдущих версий вертолета лопастями винтов, выполненных из композитных материалов. На вертолет установлены более мощные двигатели T700-GE-701D производства американской компании General Electric, а также более современная система управления полетом. AH-64D Block III способен управлять несколькими беспилотными летательными аппаратами. Apache Block III способен развивать скорость до 300 километров в час, а дальность его полета составляет около двух тысяч километров. Вертолет вооружен 30-миллиметровой пушкой, неуправляемыми ракетами Hydra 70, AGM-114 Hellfire, AIM-92 Sidewinder и AIM-9 Sidewinder. Следует отметить, что в ближайшие несколько лет серийное производство Apache Block III будет крайне интенсивным. Помимо Армии США эти машины намерено приобрести министерство обороны Саудовской Аравии. 21 октября 2010 года Управление военного сотрудничества (DSCA) Пентагона уведомило Конгресс США о возможной поставке Саудовской Аравии 190 вертолетов, включая 70 Apache Block III с комплектом вооружения. Общая стоимость заказанной вертолетной техники составляет 25,6 миллиарда долларов. Помимо Саудовской Аравии усовершенствованные Apache должен получить Тайвань. Этому государству военная техника будет передана в рамках пакета вооружений, согласованного в 2008 году администрацией президента Джорджа Буша. В общей сложности, Тайвань должен получить 30 таких машин. http://www.aex.ru/news/2010/10/26/79620/
boyan Posted October 28, 2010 Posted October 28, 2010 Армия США дополнила список изменений, которые будут внесены в конструкцию ударного вертолета Boeing AH-64D Apache Longbow Block III, сообщает Flightglobal. Согласно новым требованиям военных, усовершенствованный вертолет, помимо новых двигателей и электроники, должен будет получить и новый фюзеляж. По оценке Boeing, выпускающей вертолеты, полномасштабное производство Apache Block III должно начаться в 2013 году, и у компании практически не остается времени на проектирование нового фюзеляжа. Несмотря на то, что Apache Block III будет обновлен практически полностью, Армия США расценивает вносимые улучшение, как программу модернизации вертолета, а не как создание новой машины. По словам руководителя проекта AH-64 полковника Шейна Опеншо (Shane Openshaw), "новый фюзеляж - всего лишь один из элементов модернизации старой машины". 26 октября 2010 года военные заказали первую партию новых Apache мелкосерийного производства. Эти машины будут выпущены с фюзеляжем старой конструкции. В рамках соглашения на поставку первой партии вертолетов, Boeing соберет восемь Apache Block III. Первые из этих машин будут переданы военным в октябре 2011 года. Сумма сделки составила 247 миллионов долларов. В общей сложности на этапе мелкосерийного производства Армия США намерена купить 51 Apache Block III. На каком именно этапе машины будут собираться на базе нового фюзеляжа, пока неизвестно. Останавливаться на пакете модернизации Block III Армия США не намерена. В частности, в перспективе планируется заменить "дневные" сенсорные системы, лазерный целеуказатель, а также установить электронно-оптические камеры. Согласно действующим планам американских военных, у Boeing будут заказаны в общей сложности 690 Apache Block III. В новой версии Apache использованы композитные лопасти винтов, двигатели T700-GE-701D, новая система управления полетом, а также обновленное оборудование для проведения операций в ночное время. AH-64D Block III способен управлять несколькими беспилотными летательными аппаратами. Вертолет может развивать скорость до 300 километров в час, а дальность его полета составляет около двух тысяч километров. Вертолет вооружен 30-миллиметровой пушкой, неуправляемыми ракетами Hydra 70, AGM-114 Hellfire, AIM-92 Sidewinder и AIM-9 Sidewinder. http://www.aviaport.ru/digest/2010/10/28/204777.html
Michael_VL Posted April 8, 2011 Posted April 8, 2011 AH-64 Apache Американский авиастроительный концерн Boeing начал сборку первого серийного ударного вертолета AH-64D Apache Longbow Block III, сообщает ASDNews. Как ожидается, выкатка новой машины состоится осенью 2011 года, после чего вертолет пройдет заводские испытания и в 2012 году будет передан заказчику - Армии США, которая намерена до 2026 года принять на вооружение в общей сложности 689 новых Apache. Из указанного числа только 56 машин будут абсолютно новыми, в то время как оставшиеся 643 - модернизированными до версии Block III вертолетами Apache Longbow Block II. Первые два года объем производства AH-64D Block III будет невысоким, но начиная с 2013 года Boeing сможет оснащать новыми вертолетами до двух батальонов в год. В усовершенствованной версии Apache использованы композитные лопасти винтов, двигатели T700-GE-701D, новая система управления полетом, а также обновленное оборудование для проведения операций в ночное время. AH-64D Block III способен управлять несколькими беспилотными летательными аппаратами. Вертолет может развивать скорость до 300 километров в час, а дальность его полета составляет около двух тысяч километров. Модернизированный вертолет будет вооружен 30-миллиметровой пушкой и неуправляемыми ракетами Hydra 70, а также ракетами класса "воздух-поверхность" AGM-114 Hellfire и класса "воздух-воздух" AIM-92 Stinger и AIM-9 Sidewinder. http://www.lenta.ru/news/2011/04/08/ah64d/ Лучше быть, чем казаться!
ED Team Chizh Posted April 20, 2011 ED Team Posted April 20, 2011 20 апреля 2011 г., Aviation Explorer – Армия США будет проводить модернизацию ударных вертолетов AH-64D Apache до версии Block III в три этапа, сообщает Lenta.ru со ссылкой на Flightglobal. На первом - вертолеты получат новые двигатели, трансмиссию и винты. Второй этап подразумевает установку на модернизированные машины единой тактической системы связи, которая позволит обмениваться информацией с другими летательными аппаратами и наземными подразделениями. Третий этап пока точно не определен. Армия США в рамках третьего этапа модернизации Apache рассматривает возможность установки на вертолет оборудования для обнаружения вражеского огня. Эта система будет включать в себя три камеры и аппаратуру обработки информации. Новая система сможет обнаруживать точки ведения огня по вспышкам дульного пламени, вычислять их местоположение с высокой точностью и определять тип вооружения, из которого был произведен выстрел. В начале апреля 2011 года сообщалось, что в США началась сборка первого серийного ударного вертолета AH-64D Apache Longbow Block III. Машина будет полностью готова к началу ноября 2011 года, а в январе 2012 года приступит к испытаниям на боевое применение. Армия США намерена до 2026 года принять на вооружение в общей сложности 689 новых Apache. Из них только 56 машин будут абсолютно новыми, в то время как оставшиеся 643 - модернизированными до версии Block III вертолетами Apache Block II. На Apache Block III установлены композитные лопасти винтов, двигатели T700-GE-701D, новая система управления полетом, а также обновленное оборудование для проведения операций в ночное время. AH-64D Block III способен управлять несколькими беспилотниками. Вертолет может развивать скорость до 300 километров в час, а дальность его полета составляет около двух тысяч километров. Модернизированный вертолет будет вооружен 30-миллиметровой пушкой и неуправляемыми ракетами Hydra 70, а также ракетами класса "воздух-поверхность" AGM-114 Hellfire и класса "воздух-воздух" AIM-92 Stinger и AIM-9 Sidewinder. http://www.aex.ru/news/2011/4/20/84462/ Единственный урок, который можно извлечь из истории, состоит в том, что люди не извлекают из истории никаких уроков. (С) Джордж Бернард Шоу
VSK Posted April 29, 2011 Posted April 29, 2011 Следующей весной боевые вертолеты Apache 1-101-й бригады армейской авиации из Форта Кэмпбелл получат новые системы обнаружения врага - GFAS. Система GFAS с помощью оптических сенсоров вертолета обнаруживает дульное пламя стрелкового оружия и позволяет быстро найти наземного противника. Информация о положении стрелка обрабатывается процессором борткомпьютера вертолета, и пилот видит иконку с указанием расположения огневой точки противника. Изящество системы состоит в том, что в кабину вертолета не добавляется новое оборудование, дополнительные дисплеи, а основное программное обеспечение не переписывается. GFAS интегрируется в существующую систему обработки данных: после получения информации об обстреле с земли пилоту достаточно нажать кнопку и комплекс электронно-оптических датчиков MTADS/PNVS автоматически наводится на место, откуда ведется огонь. Таким образом, экипаж боевого вертолета не только видит точку поверхности, откуда велся огонь из стрелкового оружия, но и может быстро захватить цель и открыть огонь на поражение. Также GFAS позволяет быстро найти место боя и оказать своевременную поддержку своим войскам. Станет возможным обнаружение стрелков даже в условиях так называемого термального перехода. Это период, который наступает два раза в сутки, когда наблюдается баланс температур, полностью скрывающий человека от инфракрасных сенсоров. Система GFAS уже прошла ряд ключевых испытаний на полигонах Меса и Юма в штате Аризона. Планируется, что новая технология будет внедрена и в систему Blue Force Tracker, что позволит идентифицировать стреляющего и избежать поражения дружественных войск. GFAS поможет военным снизить потери от серьезной угрозы обстрелов вертолетов из стрелкового оружия. В Афганистане это стало серьезной проблемой, которая усугубляется особенностями местности. Так, в октябре 2009 года во время боя за лагерь Китинг, американские военные потеряли 8 солдат убитыми и 24 ранеными, только потому, что не смогли в дневное время обнаружить огневые точки противника. Эвакуационные вертолеты не могли вывезти раненых из-за плотного огня из стрелкового оружия, который вели талибы. Обнаружить и уничтожить противника удалось только спустя 9 часов, когда стемнело. Система GFAS не позволит противнику безнаказанно применять стрелковое оружие и сможет мгновенно реагировать на вспышки дульного пламени, что даст пилоту возможность немедленно обстреливать замаскированного противника или уклоняться от вражеского огня. http://rnd.cnews.ru/army/news/line/index_science.shtml?2011/04/28/438400 "Общество овец со временем неминуемо породит правительство волков". Bertrand de Jouvenel "Там, где торжествует серость, к власти всегда приходят черные" Братья Стругацкие
ED Team Chizh Posted October 30, 2011 ED Team Posted October 30, 2011 Cnews.ru. На основе боевого опыта ливийского конфликта британская армия обнаружила необходимость внести несколько изменений в конструкцию ударного вертолета Apache AH1, который дебютировал с морской платформы. Вертолеты Apache действовали с британского десантного вертолетоносца HMS Ocean с 29 мая по 24 августа и в общей сложности выполнили 25 миссий с поражением целей на территории Ливии, включая города Брега и Триполи. Apache завершили боевые вылеты 6 августа, поразив более 100 целей, в том числе наземные транспортные средства, здания и системы ПВО. Примерно 40 миссий были запланированы на первый период боевых действий, но некоторые из них был отменены из-за недостатка разведывательной информации и высокой угрозы со стороны зенитных средств ливийской армии. Британские Apache впервые использовались с палубы HMS Ocean и, фактически, это было проверкой новой тактики применения ударных вертолетов, а также совершенствованием процедур обслуживания и обеспечения боеготовности Apache на морской платформе. В ходе боевых действий в Ливии были выявлены несколько недостатков в конструкции Apache, устранение которых повысит эффективность применения вертолета и безопасность экипажа. Прежде всего была отмечена недостаточная эффективность тормоза несущего винта, который иногда не справлялся с сильным ветром на палубе корабля. Экипажи вертолетов также выразили озабоченность в связи с возможной вынужденной посадкой на воду - в случае если Apache не сможет дотянуть до корабля. Пилоты попросили какое-либо устройство для поддержания вертолета на плаву, поскольку сейчас он просто пойдет на дно как камень. Кроме того необходима система быстрого покидания вертолета экипажем, иначе он просто не успеет выбраться из тонущей машины и погибнет. Также необходимо добавление группы передатчиков I-диапазона (8-10 ГГц), которые облегчат возвращение на корабль. Нуждается в серьезной модернизации система аварийного электропитания: сейчас в случае полного отказа электрооборудования емкости аккумулятора хватает всего на 6 минут полета, чего по мнению пилотов недостаточно. В настоящее время британская армия концентрирует свои усилия на поддержку миссии НАТО в Афганистане и постоянное присутствие Apache на борту кораблей не запланировано до 2015 года. Однако такая необходимость может возникнуть в случае повторения конфликта, подобного ливийскому, поэтому модернизация вертолетов необходима и будет проведена. В Афганистане британские Apache непрерывно действуют с 2006 года. За все это время разбился только один ударный вертолет – пилот Apache «потерялся» в пылевой воронке. Оба члена экипажа избежали серьезных травм. http://www.cnews.ru/news/line/index.shtml?2011/10/28/462277 http://www.militaryparitet.com/teletype/data/ic_teletype/12531/ Единственный урок, который можно извлечь из истории, состоит в том, что люди не извлекают из истории никаких уроков. (С) Джордж Бернард Шоу
ED Team Chizh Posted November 4, 2011 ED Team Posted November 4, 2011 Армия США получила первый вертолет Apache Block III 3 ноября 2011 г., Aviation Explorer – Boeing передал Армии США первый серийный ударный вертолет AH-64D Apache Block III, сообщает Lenta.ru. Вертолет поставлен военным в рамках контракта на мелкосерийное производство (LRIP) 51 Apache Block III. Сборка первого серийного AH-64D началась 7 апреля 2011 года. Таким образом, на производство вертолета Boeing потратил около семи месяцев. В общей сложности Армия США намерена принять на вооружение 690 Apache Block III. Ранее сообщалось, что из указанного количества машин, только 56 будут новыми, в то время как оставшиеся 634 будут модернизированными до версии Block III вертолетами Apache Block II. Начиная с 2013 года Boeing планирует ежегодно оснащать новыми вертолетами до двух батальонов. Поставка усовершенствованных AH-64D будет осуществляться вплоть до 2026 года. В Apache Block III лопасти винтов из композиционных материалов, двигатели T700-GE-701D, новая система управления полетом, а также обновленное оборудование для проведения операций в ночное время. AH-64D Block III способен управлять несколькими беспилотными летательными аппаратами. Вертолет может развивать скорость до 300 километров в час, а дальность его полета составляет около двух тысяч километров. Модернизированный вертолет будет вооружен 30-миллиметровой пушкой и неуправляемыми ракетами Hydra 70, а также ракетами класса "воздух-поверхность" AGM-114 Hellfire и класса "воздух-воздух" AIM-92 Stinger и AIM-9 Sidewinder. http://www.aex.ru/news/2011/11/3/89923/ Единственный урок, который можно извлечь из истории, состоит в том, что люди не извлекают из истории никаких уроков. (С) Джордж Бернард Шоу
Imbecile Posted November 4, 2011 Posted November 4, 2011 У них свои попы) По комплекции до классических индейцев им далеко. Выглядят как типичные американцы, даже в кабину не влезут наверно:D
Lesnar Posted November 8, 2011 Posted November 8, 2011 Подскажите кто знает, какой у АН-64D статический потолок, желательно из англоязычных источников. Везде указывается только практический.
Anddy Posted November 8, 2011 Posted November 8, 2011 Подскажите кто знает, какой у АН-64D статический потолок, желательно из англоязычных источников. Везде указывается только практический. В зависимости от температуры и боевой загрузки. http://www.sukhoi.ru/forum/attachment.php?attachmentid=144115&d=1320333850
ED Team Chizh Posted November 10, 2011 ED Team Posted November 10, 2011 «Военный Паритет». Ударный вертолет AH-64D Apache Block III оснащен беспилотной системой тактической линии передачи данных общего пользования UTA (Unmanned Aerial Systems Tactical Common Data Link Assembly), сопряженной с беспилотным летательным аппаратом. Эта система позволяет экипажу вертолета управлять полетом и полезной нагрузкой БЛА, что достигнуто впервые в практике авиации. Таким образом, достигнут значительный успех в организации боевого взаимодействия пилотируемых и беспилотных летательных аппаратов. Вертолет в полете получал информацию от БЛА MQ-1 Gray Eagle («Серый Орел»). «Это настоящее изменение «правил игры», которое преподносит на поле боя вертолет AH-64D Apache Block III», заявил менеджер программы Apache Block III подполковник армии США Бейли (Bailey). По его словам, такая связка повышает уровень ситуационной осведомленности экипажей «Апачей», командиров сухопутных подразделений и БЛА, создавая над полем сражения по-настоящему боевую сетецентрическую систему. Система связи UTA является двусторонней высокопропускной системой передачи данных для экипажей вертолетов, которая позволяет им управлять траекторией полета БЛА. Система позволяет контролировать БЛА на больших дальностях и получать в режиме реального времени видеоизображения высокой четкости на многофункциональных дисплеях ударного вертолета. На вертолете установлен радар управления огнем и новая система UTA, которые позволяют применять УР Hellfire с радиолокационной ГСН миллиметрового диапазона в режиме «выстрелил-забыл». Оснащение серийных вертолетов новой системой запланировано в 2012 году. Система UTA разработана компанией Longbow, которое является совместным предприятием Lockheed Martin и Northrop Grumman. http://defense-update.com/20111109_apache-block-iii-controls-a-gray-eagle-uav-demonstrating-advanced-manned-unmanned-operations.html http://www.militaryparitet.com/perevodnie/data/ic_perevodnie/1762/ Единственный урок, который можно извлечь из истории, состоит в том, что люди не извлекают из истории никаких уроков. (С) Джордж Бернард Шоу
ED Team Chizh Posted January 19, 2012 ED Team Posted January 19, 2012 ЦАМТО. Сухопутные войска США намерены завершить модернизацию имеющихся на вооружении ударных вертолетов AH-64A «Апач» к версии «D» к маю текущего года. Об этом сообщил «Джейнс дифенс уикли» руководитель проекта полковник Шон Опеншоу. Программа модернизации вертолетов «Апач», состоящих на вооружении четырех батальонов Национальной гвардии СВ США, началась в 2009 году в связи с аннулированием программы создания армейского разведывательного вертолета ARH, предназначавшегося для замены устаревших ОH-58D «Кайова Уорриор», а также «Апач» версии «A». На текущий момент модернизацию еще не прошли 16 вертолетов AH-64A. Остальные машины уже модернизированы или находятся в процессе усовершенствования к конфигурации AH-64D «Апач Лонгбоу», которая предусматривает их оснащение системой обнаружения и целеуказания/системой ночного видения M-TADS/PNVS, РЛС управления огнем миллиметрового диапазона AN/APG-78 «Лонгбоу», что позволит применять ПТУР AGM-114 «Хеллфайр». Для выполнения некоторых операций РЛС «Лонгбоу» заменяется системой, позволяющей с помощью специального интерфейса связываться с беспилотными летательными аппаратами. Стандартный комплект вооружения вертолетов «Апач» версии «D» включает 30-мм пушку М-230Е1, ПТУР AGM-114 «Хеллфайр», неуправляемые 70мм ракеты «Гидра-70». Первоначально СВ США планировали перевооружить батальоны Национальной гвардии, применявшие вертолеты версии «A», на новые вертолеты ARH, однако аннулирование данного проекта вынудило первоначально принять решение о модернизации к версии «D» парка машин двух батальонов, а затем и всех четырех. http://www.armstrade.org/ http://www.militaryparitet.com/teletype/data/ic_teletype/13558/ Единственный урок, который можно извлечь из истории, состоит в том, что люди не извлекают из истории никаких уроков. (С) Джордж Бернард Шоу
ALF7 Posted July 23, 2012 Posted July 23, 2012 (edited) А есть какая литература по подготовке пилотов вертолета "Апач".У них же "половина" девок вертолетчики.Налет какой то особенный нужен или еще чего?В чем разница у нас и у них.? п.с.Например я читал когда то новость что какой то прынс Гарри закончил полуторагодовавлые курсы подготовки на Пилота Апача.... Edited July 23, 2012 by ALF7 Онлайн-MG:joystick: "Страшнее Шилки зверя нет". "ПИСДРУНС СС ПП". "Носи ППК с молоду-любить будешь до старости". "СА-Танки решают все!" "- А мы, старшина, ни за первую и не за вторую… Мы – за третью. За эту… За как её?.. За Родину!" __|77|________:::::: =}- \~~~~~~~~~/~~~~~~~ NAVAL AVIATION FAN ~~~~~~~
Taker Posted July 23, 2012 Posted July 23, 2012 "Цензура – это тоже самое, что сказать взрослому мужчине, что он не может есть стейк, потому что его не может прожевать младенец." - Марк Твен.
Demokrator Posted July 23, 2012 Posted July 23, 2012 А есть какая литература по подготовке пилотов вертолета "Апач".У них же "половина" девок вертолетчики.Налет какой то особенный нужен или еще чего?В чем разница у нас и у них.? п.с.Например я читал когда то новость что какой то прынс Гарри закончил полуторагодовавлые курсы подготовки на Пилота Апача.... Если ты уже армейский пилот выпускник, переучивание на Апач длится от 12 до 18 месяцев. Офицером быть не обязательно 90 процентов апачиводов WO.
ALF7 Posted July 23, 2012 Posted July 23, 2012 Если ты уже армейский пилот выпускник, переучивание на Апач длится от 12 до 18 месяцев. Офицером быть не обязательно 90 процентов апачиводов WO.На чем они учаться сначала и сколько?То что тренажеры эт понятно.Что за учебные машины?Или у них тоже ккое то разделение идет по классу вертолетов?.И пилот Апача допустим не сможет управлять Чинуком или Сталлионом(хотя тут уже морпехы наверное).Сам процесс интересен. Онлайн-MG:joystick: "Страшнее Шилки зверя нет". "ПИСДРУНС СС ПП". "Носи ППК с молоду-любить будешь до старости". "СА-Танки решают все!" "- А мы, старшина, ни за первую и не за вторую… Мы – за третью. За эту… За как её?.. За Родину!" __|77|________:::::: =}- \~~~~~~~~~/~~~~~~~ NAVAL AVIATION FAN ~~~~~~~
Demokrator Posted July 23, 2012 Posted July 23, 2012 Или у них тоже ккое то разделение идет по классу вертолетов?.И пилот Апача допустим не сможет управлять Чинуком или Сталлионом(хотя тут уже морпехы наверное).Сам процесс интересен. Должен быть до 34 лет(!!!) Сдать(правильно) ASVAB. Там нет такого -Здравствуйте, я хочу стать крутым вертолётчиком. Комиссия сама определит, что для тебя лучше:). Потом лётная школа со всеми армейскими фичами(точнее Армейские фичи, а потом лётная школа:D), по её окончании тебя определят туда, куда ты больше всего подходишь. Собственное хотение там мало что решает. Вкратце, на Апачах летают самые умные(с социальной точки зрения естественно:)). В Армии учат только на Кайову, Чинук, Блэкхок и Апач. Heli правильно подметил машину.
Starwalker Posted July 30, 2012 Posted July 30, 2012 Итак, продолжим про Апач. Последний толковый пост был за номером 282 и звучал так Должен быть до 34 лет(!!!) Сдать(правильно) ASVAB. Там нет такого -Здравствуйте, я хочу стать крутым вертолётчиком. Комиссия сама определит, что для тебя лучше. Потом лётная школа со всеми армейскими фичами(точнее Армейские фичи, а потом лётная школа), по её окончании тебя определят туда, куда ты больше всего подходишь. Собственное хотение там мало что решает. Вкратце, на Апачах летают самые умные(с социальной точки зрения естественно). В Армии учат только на Кайову, Чинук, Блэкхок и Апач. Heli правильно подметил машину. Хотелось бы знать (если кто знает - просветите) - где готовят пилотов Апачей, перед командировкой в Афганистан? Что входит в "обязательный" набор знаний перед отправкой? [sIGPIC][/sIGPIC] MSI B550M Mortar WiFi, Ryzen5 5600G, AMD Radeon R9 16Gb Ram, SSD M.2 Samsung 980Pro 500 Gb, OCZ ZT 650W, Saitek X52Pro Quote Улыбайтесь! Один хрен, ваши проблемы никого не волнуют. И живите так, чтобы жизнь, пиная вас, сломала ногу!!!
Demokrator Posted July 30, 2012 Posted July 30, 2012 Хотелось бы знать (если кто знает - просветите) - где готовят пилотов Апачей, перед командировкой в Афганистан? Форт Ракер. Алабама. Что входит в "обязательный" набор знаний перед отправкой? Всё что выучил, то и входит:).
Maximus_G Posted July 30, 2012 Posted July 30, 2012 Итак, продолжим про Апач. Последний толковый пост был за номером 282 и звучал так Хотелось бы знать (если кто знает - просветите) - где готовят пилотов Апачей, перед командировкой в Афганистан? Что входит в "обязательный" набор знаний перед отправкой? Подробной программы занятий там конечно нет, но тем не менее обсуждали это тут: http://forums.eagle.ru/showthread.php?p=480700&postcount=185 9-12 месяцев - и ты летаешь на Апаче.
Demokrator Posted July 31, 2012 Posted July 31, 2012 (edited) Спасибо за ссылку и информацию. Очень похоже на то, как готовили пилотов перед Вьетнамом (по срокам). Получается, у них пилоты "натаскиваются" исключительно на полет... Странно получается, у нас вертолетчика учат несколько лет. У них - от силы год. "В чем прикол, шеф?" Там два варианта, если ты ROTC, то больше занимаешься в классе, если Warrant, соответственно больше летаешь. Разница в том, что ROTC будет поминаться по карьерной лестнице, а Warrant всега будет только "строевым" вертолётчиком. Всё про всё занимает порядка двух с половиной лет, а не год кстати. Я говорил про 12-18 обучения, это только Апач Edited July 31, 2012 by Demokrator
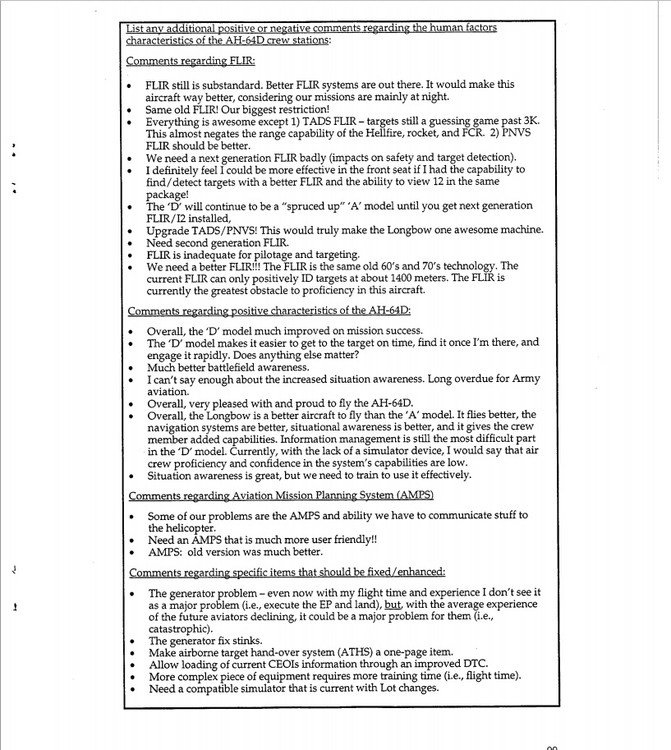
EvilBivol-1 Posted October 31, 2012 Posted October 31, 2012 (edited) Любопытный опрос летчиков AH-64D в сравнении с AH-64A. Свое мнение о работе с новыми системами и их влиянием на летную и боевую работу дали 43 летчика. Много интересного о работе в кабине с МФИ, новыми пультами, т.д. В основном все положительно, но меня удивили негативные комменты о тепловизоре. Правда опрос 2002 года. В то время еще стоял оригинальный TADS 80х годов. С тех пор была проведена замена на новые системы, для которых заявляют характеристики в полтора-два раза лучше (и различные новые возможности). Дальность распознавания цели один человек говорит не выше 3 км, другой вообще 1400 м. В любом случае, это указывается многими как самое слабое место машины, не позволяющее в полной мере воспользоватся возможностями оружия. http://www.dtic.mil/cgi-bin/GetTRDoc?AD=ADA401032 Edited October 31, 2012 by EvilBivol-1 - EB [sIGPIC][/sIGPIC] Nothing is easy. Everything takes much longer. The Parable of Jane's A-10 Forum Rules
arcivanov Posted October 31, 2012 Posted October 31, 2012 (edited) Любопытный опрос летчиков AH-64D в сравнении с AH-64A. Это мульке 10 лет и она про Block I. Смотри M-TADS/PNVS Arrowhead и MDSA. Edited October 31, 2012 by arcivanov
EvilBivol-1 Posted October 31, 2012 Posted October 31, 2012 Это мульке 10 лет и она про Block I. Смотри M-TADS/PNVS Arrowhead и MDSA. Ну так: Правда опрос 2002 года. В то время еще стоял оригинальный TADS 80х годов. С тех пор была проведена замена на новые системы, для которых заявляют характеристики в полтора-два раза лучше (и различные новые возможности). За ссылку на оригинал спасибо. - EB [sIGPIC][/sIGPIC] Nothing is easy. Everything takes much longer. The Parable of Jane's A-10 Forum Rules
Recommended Posts