-
Posts
1226 -
Joined
-
Last visited
Content Type
Profiles
Forums
Events
Everything posted by SAB
-
Случается то что случается, я описывал эту проблему несколько раз, впервые в конце ноября 2015г ЕМНИП. В онлайне тоже видел такое на А-10с использующим автомат ловушек, также несколько раз против истребителей наблюдал - средняя вероятность -3 ракеты, а тут просто новый ДКС, новый ССД и сразу 6 штук! Пришлось освоить ютуб. Крылья отлетают, помимо иного, при скорости 1350 и выше при относительно легком движении руки, уже независимо от веса борта и вооружения на крыльях - ну как и говорилось - ничего ненастроенно, но уже введено. В результате имеем вот такой геймплей Su-27C vs F-15C, а с учётом ранее выложенной мной pdf-ки - туши свет, короче. PS: А шеврон на рукаве пилота и парашют лежащий в воздухе это просто неприемлемо ;)
-
С первого раза надеюсь угодил всем - и тем кто скрупулезно записывает баги и тем кому не удается сломать крылья, и тем кто умеет воевать с ботами, и специалистам по реализму, и геймплею. А также, немного любителям drum&bass... :) PS: Подробности в треке.
-
Адекватный ответ на ваше: очень здорово!
-
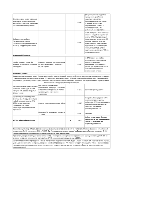
В корне не верно. Сравнение старых версий иллюстрирует падение уровня геймплея на сегодняшний день и его перспективного, финального этапа. Ничего не доказываю и не подгоняю, а просто факты - как именно повлияли изменения на игру и приведены для ознакомления в первую очередь для вас, поскольку ЕД не играет в свою игру и вам банально непонятно о чем вы пишите и о чем вам говорят. Сравнивать с реальными прототипами это правильно, но к сожалению не могу, поскольку не летал ни на Ф-15с ни на СУ-27с, как и вы полагаю. Поэтому могу сравнить только геймплей, который идёт в координальный разрез с имеющейся в сети информацией в части сравнения двух этих бортов, в т.ч. мнений пилотов и тут да, регресс, при сравнении ф-15с и СУ-27 в игре. PS: А ну и помпаж двигателей СУ-27с на вертикали забыл в документ зОпейсать. :)
-
Хочу вернуться к вопросу о Su-27 и играбельности в DCS: World. Да Андрей. Не получается чё то. ;) PS: К сожалению, не выходит в более удобном виде довести информацию (файлик exel в архиве). Еслиб кто научил вставлять pdf в текст, был бы признателен.
-
Вот тут все собрано: http://forums.eagle.ru/showthread.php?t=142658 PS: Название темы явно не дружественное к новичкам. "Кёнигсберг - весёлые картинки", следовало бы назвать, чтоб вообще интуитивно :)
-
По видео тренировок на высоких перегрузках мне видно по лицам: 1) желания повторить нет; 2) отходняк длительный в прострации и очевидна усталость от перенесённого воздействия; 3) в момент самих перегрузок явная озабоченность своей жизнью и здоровьем, не тактикой ведения БВБ в части построения сложного каскада манёвров. Могу ошибаться, но это никак не учтено.
-
ИМХО: Не летаете сами (все ЕД) и не знаете реалий игры. Не понимаете как ваши доработки, как любите уточнять - упрощенных модулей, влияют на геймплей и не понимаете о чем разговор. Нагибать :megalol: PS: Постараюсь на выходных вам донести без эмоций по вопросу превосходства.
-
Проблема в том что тебе непонятно почему СУ-27 должен стать, а мне непонятно почему F-15c стал. Самое печальное, когда люди, бывающие в он Лайне чуть более чем постоянно, говорят что при образно равных пилотах в дуэли шанс победить у Су-27 не более 5-10%. Эти любители СУ-27 говорят хватит нерфить уже итак достаточно, не говоря уже об улучшениях, но находятся: 1) Чиж, который говорит у СУ-27 есть преимущество на скоростях менее 0,8М, но ему не известно что F-15c абсолютно спокойно летает на скоростях более 0,8М и пилоты практически с черным экраном спокойно одерживают победы; 2) Находятся офф Лайн специалисты, которые не всегда побеждают ботов, летающих по программе, делающих пуски по 1 ой ракете, отворачивающих при первой же опасности при этом флайт модель у них СФМ; 3) Отписывают асы пилотажники в стиле нужно оттачивать, курить, знать, изучать, читать, медитировать... В результате чего создаётся какое-то ложное впечатление что СУ-27 может, а тот кто пишет что это не так, выглядит идиотом из серии красных опустили. Увы господа.
-
Во вселенной DCS. - 2 перечисленные поломки совместимы с полётом и оставшаяся с возможностью посадки. - 3 перечисленные поломки совместимы с применением оружия пустил-забыл. В то время как без крыльев, в т.ч на которых подвешены ракет сделать это невозможно. Это к слову. В зависимости как реализуете. Если фиксить баги такими костылями, то это достойно аплодисментов стоя. Исходя из утверждения получился новый баг при перегрузке 10-20g ;) Все же понимают про 20-30g и нереальность и кто пользовался данной особенностью реализации, тот может и опечален. Я не пользовался и меня не устраивает то, что описано выше. СУ-27 итак ванильный - отказ СДУ, отказ гидросистемы, отказ ИЛС приводит к потере борта 99,9%, а тут ещё и это - я не уверен что ДМ модель СУ-27 настроена до конца, но F-15c в игре гораздо прочнее. Там по всем пунктам можно поговорить и их гораздо больше. Нерф СУ-27 или привидение к реалу, если угодно, по сравнению с ЛО 1.12 просто космический. Ниодного минуса для F-15c за эти годы я припомнить не могу. Единственное что из-за настройки ракет невозможно пустить эффективно ракету в TWS прикрываясь РЭБ, но раньше помеха прожигалась с 25-30км., а потом изменили на 45-55км, аргументацию не помню.
-
Сможешь, немножко бубна надо: Начать загрузку модуля и ДЦС ворлд стим версию. После начала скачки нажать паузу. Нажать правой кнопкой на полоску скачки или где-то там и найти ключ продукта. Скопировать его и перейти а свой аккаунт на digitalcombatsimator, проверить ключ и привязать к своему аккаунту. После этого удалить то что скачалось в Стиме. А там все как обычно. (Ключ лучше куда-нибудь записать на всякий) Делал так, может проще можно. Бывают. Максимальную скидку в 40% видел. Года 2 назад бывали и 70%.
-
Вероятно лопнет стекло... Должно же хоть что-то сломаться раз пилот и крылья целы ;) Опять же по истории с F-15c, отсутствие такого "бутафорского" элемента как крыло, не привело к отказу управления и позволило довести самолет до ВПП и его штатно посадить, несмотря на множественные разрывы электро цепей, гидравлических и топливных контуров, динамического удара в момент отрыва и проч... Поэтому за стабилизатор я в целом спокоен. Читай - видеоистория, а равно экранизированная история, фильм, мемуары. Я понимаю и читал что ты писал и поддерживаю. В текущей реализации оторвать крылья очень просто. На Су-25Т чувствуется когда они отлетят, тут нет. Это настраивать годами можно, поэтому либо это делать нужно отдельно в бэте или уж всем самолетам вместе - не забыть и про F-15c, Миги и Су-33 и другие модули, добавить какой-то эффект вибрации чтоб чувствовалось что самолет "устал". дабы совсем не портить гемплей. Также не забыть о предельной скорости в плотных слоях - о пределах прочности. Касаемо F-15c, например, среднестатистический бой в игре происходит на гораздо больших средних перегрузках и начало уже положено 12.5G - ничего страшного. "Быстрее, выше" уже есть, осталось "сильнее"! ;)
-
GGTharos видео привёл что F-15c не развалился на критических перегрузках - значит крылья овалиться не могут... Разработчики говорят об отказах в таких случаях, в т.ч. критических по каналам управления... Но у нас есть видео история о полетах F-15c без крыла, поэтому не понимаю как у F-15c может что-то случиться с управлением. Было бы правильно реализовать отказ "будильника" указателя перегрузки, но это не самое важное у F-15c, поэтому силы разработчиков лучше не отвлекать. :thumbup: PS: А сделают разработчики aim 9x и НЦУ, с ракурсом пуска градусов 180 и перегрузки забудут как дисковый телефон :)
-
Спасибо, что не поленился расписать для тех кто в танке, а то теоретики активизировались :) Суть именно во времени, которое пройдёт до нормализации геймплея. Не будем углубляться в настройку пневматиков и автопилота ибо пустое, а вспомним полуторамесячную настройку ЛТЦ, а если Фрог Фут начал про трансзвук объяснять, то жди беды :megalol: PS: А звук отстёжки прикольный. :)
-
Наконец-то добрался до DCS и понял негодование... Никогда не использовал чит манёвры с жёсткой связью по 40g... Впрочем все описано ранее. Таким односторонним прогрессивным нововведением в очередной раз убили нахрен геймплей. Буду небезосновательно надеятся что сделают все быстро или откатят до момента полной проработки сервиса по соблюдению эксплуатационных качеств планёра для всех видов ЛА.
-
Поставил Win 10 , HUD и соответсвующие дрова на х64. Профиль, который был создан на win 7 работает только с бубном. Сталкивался кто а? PS: Описать сложно. Нужен человек, который победил :) UPD: Страшно затупил :) Переносится профиль с win 7 на win 10 без проблем. Кидать сюда C:\Users\Public\Documents\Mad Catz\X-55 Rhino
-
Я считаю что ты наговариваешь. Все сделают. :)
-
Много кто чего делает сам и в основном больше для себя. Как бы вопрос назрел давно, а решить его не получается без разработчиков, поскольку модов масса, но они не идут в массы. Я к сожалению, модуль сделать не могу, поэтому думаю, что пока вы не сделаете то что требуется для геймплея многие люди останутся разочарованными, когда казалось бы такие относительно простые решения существуют. PS: ну и в соответсвии с религиозными предпочтениями перекрестился :)
-
То что ты сотни раз писал свою позицию о реалиях все итак знают. Лично я например не горю желанием летать на су-27 с р-77, если су-27 будет не в модификации СМ, поскольку это не по феншую, хотя каких-то радикальных изменений именно модификация СМ не имеет думаю. Тут 2 варианта для геймплея: - либо ограничить игру 1995 годом, дабы был определенный баланс; - либо вводить новые модификации красных самолетов с оглядкой на то же баланс; Лично мне не понятна позиция в том плане, что у нас нет данных... В настоящее время самолеты ГС3, а точнее все истребители 4-ого поколения упрощенные. Там нет детально проработанных систем, соответсвенно что мешает сделать модификацию СМ имея су-27с, общие сведения о модификации СМ, знакомства в кругах пилотов, огромный опыт и знания в симуляторах - 25лет? А потом, при получении более детальной информации, когда она будет доступна, сделать тяжёлый модуль. Принцип какой-то?
-
Просто многие говорят о высоких материях и симуляции, а я выскажу своё ИМХО об игре: 1) баланс существует при р-27эр/эт и аим-120в, но ни на одном популярном сервере такое ограничение, которое можно реализовать волшебными средствами редактора, не используется; 2) на основании п.1 уверен что такое ограничение никто не будет ставить по аим 9х; 3) р-27р против аим 7 сливает последней в т.ч. по причине СУВ Су-27, его динамическим характеристикам, модели повреждений, а с недавнего времени ещё и "хрупким" крыльям; 4) в ганзо су-27 если имеет какое-то превосходство, точнее преимущество в узеньком диапазоне в котором с тобой никто летать не будет, а в соответсвии с п.3 вообще даже это преимущество отпадает; 5) р-77 если даже и будет подвешена - она не является противовесом аим-120с и может соперничать только с аим 120в и более бесполезна против аим-120с чем р-27эр.; 6) в этом пункте можно отразить преимущества Ф-15с такие как TWS, радар с автоматическим сканированием, удобное СПО, скорость, автозахват вертикальным сканированием с 18км, ну и там по мелочи ещё; Кто-то говорит про нагибание, там надо летать а не нагибать... Потенциал по нагибанию где? ОЛСомиззагорыловковзад? По факту ф-15 нагибает по полной программе и никто не планирует отказываться от нагибательного оружия, оказывая услугу пилоту Су-27, да и не нужно это пилоту Су-27. Просто какой-то странный путь у игры, как на зло. Убъем геймлей - предложил бы слоган...
-
А время воздействия перегрузки учитывается/должно учитываться? Или сразу отлетают? Кратковременно должны быть деформации/отказы? Или нет? PS: Временно без компа, а тут такое... Жесть :)
-
Ты поставь и посмотри как она выглядит в полёте. Гораздо лучше чем тебе думается.
-
Мод ВЗОРа помимо прорывной эстетики в части населенных пунктов, сбалансирован и с разных высот выглядет хорошо, что не удавалось достичь ранее мододелам. Также улучшает/не ухудшает производительность по сравнению с дефолтными текстурами.
